Quartz 4

Home

❯

1D Fourier Transformation

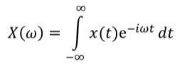
1D Fourier-Transformation

May 02, 20260 min read

  • uni/sensor_daten


Graph View

Backlinks

  • Fourier-Transformation
  • Lineare Filter 1D

Created with Quartz v4.5.1 © 2026

  • GitHub
  • Discord Community