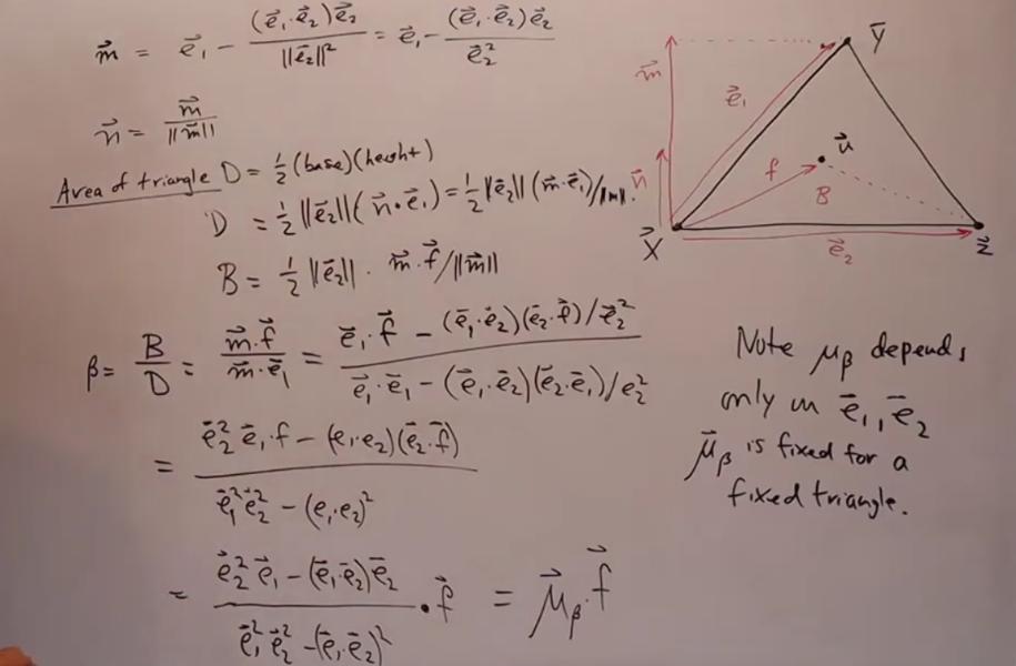
Triangle T has Points X, Y, Z Let Point P=αX βY γZ (α,β,γ) are the barycentric Coordinates of P 0≤α,β,γ≤1 α+β+γ=1 Calculating Barycentric Coordinates