Quartz 4
Search
Search
Dark mode
Light mode
Reader mode
Explorer
Home
❯
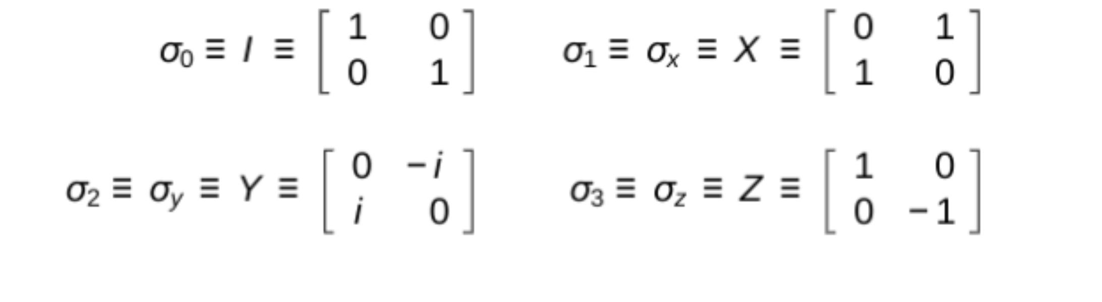
Pauli matrices
Pauli matrices
May 02, 2026
1 min read
uni/CG
We often omit I, and refer to X, Y and Z only as Pauli matrices
Graph View
Backlinks
Matrix Representation of Linear Operators