Search
❯
May 02, 20261 min read
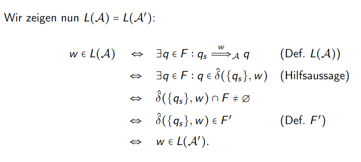
Definition Zu jedem NEA kann ein äquivalenter DEA konstruiert werden.
Definition
Zu jedem NEA kann ein äquivalenter DEA konstruiert werden.