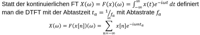
-
Nomiert Frequenzen des digitalen Signal auf Bereich
-
Nur Frequenz der halben Abtastrate (Nyquist-Frequenz) sind kontinuierlich
-
Max Frequenz im digitalen Signal ←> Nyquist-Frequenz im kontinuierlichen Signal
-
analysiert welche Frequenzen enthalten sind, aber nicht zu welcehm Zeitpunkt ⇒ SDTFT

Inverse Zeitdiskrete Fourier-Transformation
Link to original

