
Startzustand

Endzustand

Transition

Zustand

`Ereignis [Bedingung]/Effekt
Ereignis
`entry, do, exit
SynkronisreSynkronisrenn von Zuständen

Unter zustände

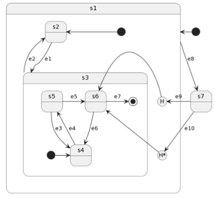
H-Eintritte

H tritt in s3 und damit s4 ein wenn er in s4, s5, s6 war.
H tritt in s2 ein wenn er in s2 war.
H tritt in s6 ein wenn er noch in keinem war.
H* tritt in s4 ein wenn er in s4 war.
H* tritt in s5 ein wenn er in s5 war.
H* tritt in s6 ein wenn er in s6 oder keinem war.