Koordinatensystem
Definition
Link to originalSei ein reeler Vektorraum mit der Basis
Dazu gehört ein Isomorphismus
mit für alle .
Ist , so ist
dabei heißt das durch Basis bestimmte Koordinatensystem in .
Transformationsmatrix
Definition
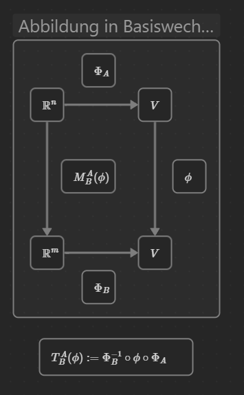
Hat man zwei Basen und von ,
so haben wir entsprechend zwei Isomorphismen: und einen Isomorphismus
den man als Matrix aufgefasst die Transformationsmatrix des Basis wechsels nennt.Link to original
Abbildung in Basiswechsel
Satz
Satz (Transformationsformel)
Link to original

